Modelovanie úrokových mier: short rate vo Vašíčkovom modeli
:: Jednofaktorový short rate model ::
- Úrokové miery - napríklad Euribor:
- Short rate - okamžitá úroková miera, aproximuje sa úrokovou mierou s krátkou splatnosťou
- Okamžitá úroková miera sa modeluje stochastickou diferenciálnou rovnicou:
teda trend vo vývoji úrokovej miery + náhodné fluktuácie okolo trendu
- Jednofaktorový model - jedna stochastická diferenciálna rovnica
pre r, t. j. jeden zdroj náhodnosti vo vývoji okamžitej úrokovej miery
(jeden Wienerov proces).
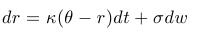
:: Vašíčkov model :::
- Stochastická diferenciálna rovnica pre okamžitú úrokovú mieru:
- Vlastnosť mean-reversion (priťahovanie k dlhodobej hodnote, k limitnej hodnote) - pre strednú hodnotu platí:
- Volatilita je konštantná, nezávisí teda od aktuálnej hodnoty úrokovej miery
:: Pravdepodobnostné rozdelenie úrokových mier ::
- Na prednáške: podmienené rozdelenie úrokovej miery, ak poznáme jej hodnotu r0 v čase 0 - je to normálne rozdelenie
s parametrami
- Znalosť tohoto rozdelenia nám umožňuje:
- Vygenerovať realizáciu procesu pre zadané parametre a začiatočnú hodnotu úrokovej miery.
- Odhadovať parametre procesu z dát.
- Upozornenie: V literatúre sa požívajú rôzne označenia pre
lineárnu funkciu driftu, treba si vždy pozrieť, s akým driftom sa
pracuje.
::Cvičenia (1) ::
- Článok
Athanasios Episcopos: Further evidence on alternative continuous time
models of the short-term interest rate. Journal of International
Financial Markets, Institutions and Money 10 (2000) 199-212, kde autor odhadoval modely úrokových mier. Všeobecný model, ktorým sa zaoberal, je
Zoberieme parametre pre Nový Zéland:
- Preveďte tieto parametre tak, aby sme proces mali
vyjadrený ho pomocou parametrov
,
,
. Predpokladajte, že dnešná hodnota úrokovej miery je 4.5 percenta a vygenerujte trajektóriu jej ďalšieho vývoja pomocou presného podmieneného rozdelenia. Zakreslite do tohto grafu aj strednú hodnotu úrokovej miery.
-
Predpokladajte, že dnešná hodnota úrokovej miery je 4.5 percenta. Aká je
stredná hodnota úrokovej miery o týždeň, o mesiac a o rok? Zostrojte
pre tieto úrokové miery intervalové odhady (stredná hodnota +/-
2*štandardná odchýlka).
- Aké je limitné rozdelenie úrokovej miery? Nakreslite graf
hustoty tohto limitného rozdelenia. Doplňte do grafu hustoty rozdelenia
úrokovej miery o mesiac, o rok, ... - tak, aby ste videli konvergenciu
týchto hustôt k limitnej hustote.
// hustota N(m,s2), upravte pre vektorovy argument x
function [f]=f(x,m,s2)
f=exp((x-mi)^2/(2*s2))/sqrt(2*%pi*s2);
endfunction
:: Metóda maximálnej vierohodnosti na odhadovanie parametrov ::
-
Podmienené rozdelenie úrokových mier je normálne, preto funkcia
vierohodnosti je súčin hustôt normálnych rozdelení. Odhady parametrov sa
dajú explicitne vyjadriť.
- Damiano Brigo, Fabio Mercurio: Interest Rate Models -
Theory and Practice. Second Edition. Springer, 2007. Kapitola 3.1.2,
str. 61-62:
[books.google.com]
- Môže sa vám hodiť nasledujúci skript, v ktorom sú prepísané tieto vzorce pre odhady: [vasicekMLE.sce]
:: Cvičenia (2) ::
- Ako z týchto odhadov dostaneme odhady parametrov
,
,
? Odvoďte príslušnú transformáciu.
Odhadnite tieto parametre pre dáta [euro2014q1.txt] (európske úrokové miery v prvom kvartáli 2014).
:: Testovanie štatistických hypotéz o parametroch ::
- Podľa zadania v
[cv9b.pdf]
:: Ďalšie príklady na precvičenie ::
- Uvažujme exponenciálny Vašíčkov model, v ktorom sa okamžitá úroková miera modeluje ako:
- Nájdite odhady parametrov pre dáta [euro2014q1.txt] (návod: pre zlogaritmované dáta viete použiť postup pre odhadovanie parametrov klasického Vašíčkovho modelu)
- Spravte predikcie pre nasledujúci štvrťrok a porovnajte ich s predikciami z Vašíčkovho modelu. Nakreslite priebeh oboch predikcií do jedného obrázku a porovnajte ich so skutočným vývojom úrokovej miery v druhom štvrťroku.
- Uvažujme Dothanov model, v ktorom sa okamžitá úroková miera modeluje ako:
- Nájdite podmienené rozdelenie úrokovej miery (pri jej danej dnešnej hodnote).
- Použite toto rozdelenie na konštrukciu funkcie vierohodnosti pre dáta [euro2014q1.txt]. Nakreslite jej priebeh pre vhodný rozsah premennej sigma a nájdite maximum.
- Pre odhad získaný v predchádzajúcom bode a zostojte hustotu rozdelenia úrokovej miery v polovici roka 2014.
- Porovnajte túto hustotu s hustotami získanými z odhadovana Vašíčkovho a exponenciálneho Vašíčkovho modelu.
- Zopakujte predchádzajúce výpočty s aktuálnymi dátami. Stiahnite si dáta úrokovej miery (napr. 3M treasury bills, Euribor s
krátkou dobou splatnosti a pod.) zo zvoleného časového intervalu.
Zobrazte ich vývoj.
Zdroje dát - napríklad: