Modelovanie krátkodobej úrokovej miery
:: Jednofaktorový short rate model ::
- Úrokové miery - napríklad Euribor:
- Short rate - okamžitá úroková miera, aproximuje sa úrokovou mierou s krátkou splatnosťou
- Okamžitá úroková miera sa modeluje stochastickou diferenciálnou rovnicou:
teda trend vo vývoji úrokovej miery + náhodné fluktuácie okolo trendu
- Jednofaktorový model - jedna stochastická diferenciálna rovnica
pre r, t. j. jeden zdroj náhodnosti vo vývoji okamžitej úrokovej miery
(jeden Wienerov proces).
:: Vašíčkov model :::
- Stochastická diferenciálna rovnica pre okamžitú úrokovú mieru:
- Vlastnosť mean-reversion (priťahovanie k dlhodobej hodnote, k limitnej hodnote) - pre strednú hodnotu platí:
- Volatilita je konštantná, nezávisí teda od aktuálnej hodnoty úrokovej miery
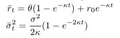
:: Pravdepodobnostné rozdelenie úrokových mier ::
- Na prednáške: podmienené rozdelenie úrokovej miery, ak poznáme jej hodnotu r0 v čase 0 - je to normálne rozdelenie
s parametrami
- Znalosť tohoto rozdelenia nám umožňuje:
- Vygenerovať realizáciu procesu pre zadané parametre a začiatočnú hodnotu úrokovej miery.
- Odhadovať parametre procesu z dát.
- Upozornenie: V literatúre sa požívajú rôzne označenia pre
lineárnu funkciu driftu, treba si vždy pozrieť, s akým driftom sa
pracuje.
::Cvičenia (1) ::
- Článok
Athanasios Episcopos: Further evidence on alternative continuous time
models of the short-term interest rate. Journal of International
Financial Markets, Institutions and Money 10 (2000) 199-212, kde autor odhadoval modely úrokových mier. Všeobecný model, ktorým sa zaoberal, je CKLS model uvedený aj na prednáške.
Zoberieme parametre pre Nový Zéland:
- Preveďte tieto parametre tak, aby sme proces mali
vyjadrený ho pomocou parametrov
,
,
.
Predpokladajte, že dnešná hodnota úrokovej miery je 4.5 percenta a
vygenerujte trajektóriu jej ďalšieho vývoja pomocou presného
podmieneného rozdelenia. Zakreslite do tohto grafu aj strednú hodnotu
úrokovej miery.
-
Predpokladajte, že dnešná hodnota úrokovej miery je 4.5 percenta. Aká je
stredná hodnota úrokovej miery o týždeň, o mesiac a o rok? Zostrojte
pre tieto úrokové miery intervalové odhady (stredná hodnota +/-
2*štandardná odchýlka).
- Aké je limitné rozdelenie úrokovej miery? Nakreslite graf
hustoty tohto limitného rozdelenia. Doplňte do grafu hustoty rozdelenia
úrokovej miery o mesiac, o rok, ... - tak, aby ste videli konvergenciu
týchto hustôt k limitnej hustote.
:: Metóda maximálnej vierohodnosti na odhadovanie parametrov ::
-
Podmienené rozdelenie úrokových mier je normálne, preto funkcia
vierohodnosti je súčin hustôt normálnych rozdelení. Odhady parametrov sa
dajú explicitne vyjadriť.
- Damiano Brigo, Fabio Mercurio: Interest Rate Models -
Theory and Practice. Second Edition. Springer, 2007. Kapitola 3.1.2,
str. 61-62:
[books.google.com]
:: Cvičenia (2) ::
- Ako z týchto odhadov dostaneme odhady parametrov
,
,
? Odvoďte príslušnú transformáciu.
Odhadnite tieto parametre pre dáta [euro2014q1.txt] (európske úrokové miery v prvom kvartáli 2014).
:: Testovanie štatistických hypotéz o parametroch v CKLS modeli ::
- Podľa zadania v
[pdf]
:: Ďalšie príklady na precvičenie ::
Pod predikciou všade rozumieme strednú hodnotu procesu, ktorého parametre sa rovnajú odhadnutým parametrom, pri známej dnešnej hodnote úrokovej miery.
- Uvažujme exponenciálny Vašíčkov model (známy aj ako model Blacka a Karasinského), v ktorom sa okamžitá úroková miera modeluje ako:
- Nájdite odhady parametrov pre dáta [euro2014q1.txt] (návod: pre zlogaritmované dáta viete použiť postup pre odhadovanie parametrov klasického Vašíčkovho modelu)
- Spravte predikcie pre nasledujúci štvrťrok a porovnajte ich s
predikciami z Vašíčkovho modelu. Nakreslite priebeh oboch predikcií do
jedného obrázku a porovnajte ich so skutočným vývojom úrokovej miery v
druhom štvrťroku.
- Uvažujme Dothanov model, v ktorom sa okamžitá úroková miera modeluje ako:
- Nájdite podmienené rozdelenie úrokovej miery (pri jej danej dnešnej hodnote).
- Použite toto rozdelenie na konštrukciu funkcie vierohodnosti pre dáta [euro2014q1.txt]. Nakreslite jej priebeh pre vhodný rozsah premennej sigma a nájdite maximum.
- Spravte predikcie pre nasledujúci štvrťrok a porovnajte ich s
predikciami z predchádzajúcich dvoch modelov. Nakreslite priebeh oboch predikcií do jedného obrázku a porovnajte ich so skutočným vývojom úrokovej miery v
druhom štvrťroku.
- Ktoré z modelov kalibrovaných v tomto cvičení (Vašíček, Black-Karasinski, Dothan) sa dajú použiť aj v súčasnej situácii záporných úrokových mier Euriboru?