Náhodné procesy, modelovanie cien akcií
:: Stochastický vývoj finančných veličín ::
-
Z priebehov cien akcií (ako aj iných finančných veličín - úrokových
mier, výmenných kurzov, ...) vidíme, že ich priebeh sa nedá popísať
deterministickou funkciou. Preto sa na ich modelovanie používajú náhodné
procesy.
-
Vľavo: trend (vývoj ceny akcie počas piatich rokov), vpravo: fluktuácie (vývoj ceny akcie počas niekoľkých hodín):
:: Wienerov proces a Brownov pohyb ::
|
Stiahnite si [cv2procesy.sce] - súbor pre Scilab
s doluuvedenými príkazmi, do ktorého budeme dopisovať ďalšie.
|
-
Základným náhodným procesom, z ktorého sú ostatné odvodené, je Wienerov proces. Pripomeňme si jeho definíciu:
Ďalej bude w všade označovať Wienerov proces.
-
Ako získame realizáciu Wienerovho procesu?
- Budeme generovať aproximáciu - hodnoty v diskrétnych bodoch typu (čas, hodnota), ktoré pospájame.
- Hodnoty budú v bodoch 0,
,2
, . . ., kde
je dostatočne malý časový krok.
- Hodnota v čase 0 je 0.
- Prírastok na intervale [k
, (k + 1)
] je náhodná premenná s nulovou strednou hodnotou
a varianciou
.
V Scilabe si najskôr definujeme pomocné funcie:
A teraz už môžeme nakresliť trajktóriu:
Nakreslite do jedného obrázku niekoľko trajektórií Wienerovho procesu. Ukážka výstupu:
-
Ak k násobku Wienerovho procesu pridáme lineárny trend:
dostávame proces, ktorý sa nazýva Brownov pohyb.
Ak je parameter
nulový, grafom je priamka. Pre nenulovú hodnotu
sa k tomuto lineárnemu trendu pridávajú náhodné fluktuácie.
V Scilabe napríklad:
Nakreslite do jedného obrázku niekoľko trajektórií Brownovho pohybu, spolu s jeho strednou hodnotou. Ukážka výstupu:
:: Cvičenia (1) ::
- Meňte parametre Brownovho pohybu a všímajte si, ako ovplyvňujú priebeh procesu. Potom priraďte procesy
- x1(t)=w(t)
- x2(t)=3*w(t)
- x3(t)=5+2*t+w(t)
- x4(t)=5+2*t+0.5*w(t)
- x5(t)=5-3*t+w(t)
k ich realizáciám na grafe:
:: Geometrický Brownov pohyb ::
-
Geometrický Brownov pohyb je proces definovaný vzťahom
pričom x0 predstavuje hodnotu procesu v čase 0.
- Pricíp generovania v Scilabe:
-
Ukážka trajektórií geometrického Brownovho pohybu:
- Opakovanie z prednášky: Čomu sa rovná stredná hodnota geometrického Brownovho pohybu?
- Vytvorte podobný graf - s priebehmi realizácií a strednou hodnotou procesu.
:: Modelovanie cien akcií pomocou geometrického Brownovho pohybu ::
-
Cenu akcie S modelujeme geometrickým Brownovym pohybom:
-
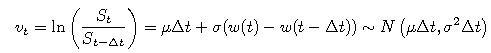
Ak sa cena akcie S riadi geometrickým Brownovym pohybom, tak pre výnosy dostávame
teda výnosy sú nezávislé náhodné premenné s normálnym rozdelením a uvedenými parametrami.
:: Cvičenia (2) ::
Pripomeňme si z prenášok z pravdepodobnosti definíciu a základné vlastnosti
lognormálneho rozdelenia:
- Náhodná premenná X má lognormálne rozdelenie, ak jej logaritmus ln(X) má normálne rozdelenie
.
- Hustota náhodnej premennej X s lognormálnym rozdelením je
- Stredná hodnota a disperzia náhodnej premennej X s lognormálnym rozdelením je
|
Stiahnite si [cv2akcie.sce] - súbor pre Scilab
s postupom riešenia nasledujúcich úloh a niektorými užitočnými funkciami.
|
Predpokladajme, že cena akcie sa riadi geometrickým Brownovym pohybom s parametrami

= 0.30,

= 0.25
a že dnešná cena akcie je 150 USD.
- Nakreslite hustotu rozdelenia ceny akcie o mesiac. Ako kontrolu
porovnajte s histogramom vygenerovaných hodnôt ceny akcie v tomto čase.
- Aká je pravdepodobnosť, že o mesiac bude cena akcie menšia ako 140 USD?
- Aká je stredná hodnota štvrťročného výnosu? Aká je pravdepodobnosť, že bude záporný?
:: Odhadovanie parametrov GBP z cien akcií ::
|
Stiahnite si [cv2data.sce] - súbor pre Scilab
s doluuvedenými príkazmi a postupom.
|
Ako získať parametre geometrického Brownovho pohybu z dát - odhadom parametrov normálneho rozdelenia z výnosov:
- Zopakujeme výpočet z prednášky. Použijeme dáta amzn.txt.
Na začiatku súboru sú najstaršie dáta.
- Stiahneme si dáta.
- Nastavíme pracovný adresár tak, aby obsahoval súbor s dátami:
- Načítame dáta do Scilabu pomocou funkcie
fscanfMat, ktorá má ako argument názov súboru uvedený v úvodzovkách.
- Definujeme časový krok medzi dvoma pozorovania dt, vyjadrený v rokoch. Máme denné dáta, teda dt=1/252:
- Definujeme výnosy - vytvoríme vektor výnosov v podľa horeuvedeného vzťhu.
- Vieme, že tieto výnosy majú normálne rozdelenie. Ďalej vieme,
že strednú hodnotu normálneho rozdelenia odhadujeme aritmetickým
priemerom a disperziu výberovou disperziou. Vypočítame teda priemer a
výberovú disperziu vektora v - budú to odhady veličín
a
- Nakoniec vypočítame odhady samotných parametrov
a
:
:: Odhad volatility interaktívne ::
:: Ďalšie príklady na precvičenie ::
- Označme tM čas, v ktorom trajektória Wienerovho procesu nadobúda svoje maximum na časovom intervale [0, 1]. Vygenerujte realizácie tejto náhodnej premennej a zobrazte jej histogram.
Na obrázku dolu je trajektória Wienerovho procesu a zodpovedajúca hodnota tM, spolu s ukážkou výsledného histogramu.
- Nech w je Wienerov proces, definujme
B(t) = w(t) - t w(1) pre čas t z intervalu [0, 1]. Tento proces je známy ako Brownov most (Brownian bridge). Nakreslite trajektórie tohoto procesu a vysvetlite jeho meno.
- Nech w je Wienerov proces, definujme proces
teda jeho hodnota v čase t je maximum Wienerovho procesu na intervale [0,t].
Na obrázku dolu je trajektória Wienerovho procesu a zodpovedajúca trajektória procesu M.
-
Vygenerujte realizácie tohto náhodného procesu a zobrazte histogram jeho hodnôt v čase t=1.
- Odhadnite strednú hodnotu procesu v čase t=1. (Tu si treba uvedomiť, že pri výpočte maxima z hodnôt v diskrétnych časoch je maximum podhodnotené v porovnaní so skutočným maximom trajektórie. Preto na dosiahnutie dostatočnej presnosti odhadu strednej hodnoty nestačí generovať veľký počet simulácií, ale aj dostatočne jemné delenie časového intervalu.)
- Nech w je Wienerov proces, definujme proces m, ktorého hodnota v čase t je minimum Wienerovho procesu na intervale [0,t].
-
Vygenerujte realizácie tohto náhodného procesu a zobrazte histogram jeho hodnôt v čase t=1.
- Odhadnite strednú hodnotu procesu v čase t=1. (Analogicky ako v predchádzajúcom príklade, treba si uvedomiť, že pri výpočte minima z hodnôt v diskrétnych časoch je minimum nadhodnotené v porovnaní so skutočným minimom trajektórie. Preto na dosiahnutie dostatočnej presnosti odhadu strednej hodnoty nestačí generovať veľký počet simulácií, ale aj dostatočne jemné delenie časového intervalu.)